overleaf template galleryLaTeX templates and examples — Recent
Discover LaTeX templates and examples to help with everything from writing a journal article to using a specific LaTeX package.

Jyothi Kunaparaju's résumé

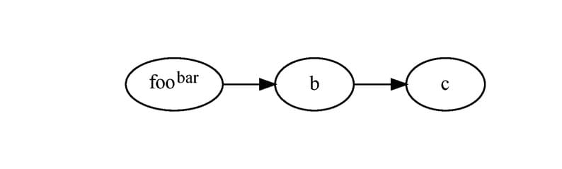
An example of the graphviz package, which uses dot in the background to draw graphs. Add \usepackage[pdf]{graphicx} to get HTML-like labels working.

Template for IUCr conference abstracts. For more information, please see IUCR's instructions.

Mohit Sarvaiya's CV (Mechanical Engineer)

A template for a CV for a undergraduate student or graduate student. Fields for publications, presentations, education and job experience.

Shubham Pateria's CV

The examples are taken from the lewis and bohr package documentations.

One Page Resume

Lagrange's Theorem
\begin
Discover why over 20 million people worldwide trust Overleaf with their work.