overleaf template galleryLaTeX templates — Recent
LaTeX templates for journal articles, academic papers, CVs and résumés, presentations, and more.

Wiley New Journal Design version 5 (NJD-v5): As of Feb. 12, 2024, you must set the compiler as XeLaTex or XeLaTex for compatibility with all the fonts; set Tex Live version as 2022; Tex Live version 2023 won't work.

LaTeX template for MSc/BSc/PhD theses of University of Tehran. قالب لاتک پایاننامه دانشگاه تهران پروژه گیتهاب: https://github.com/sinamomken/tehran-thesis

Gradu eta Master Amaierako Lanen eta Tesien Txantiloia Plantilla para Tesis y Trabajos Fin de Grado y Máster Bachelor, Master and Ph.D. Thesis template Euskal Herriko Unibertsitatea (UPV/EHU) Universidad del País Vasco (UPV/EHU) University of the Basque Country (UPV/EHU)

Template for use in internship reports, scientific reports, laboratory reports, etc. Highly modular

Latex Template for Dissertations in Ukrainian Language

This template can be used for the preparation of final PhD thesis document. This template is suitable for most of the departments.

Plantilla tesis de Licenciatura en Física de la Universidad Andres Bello

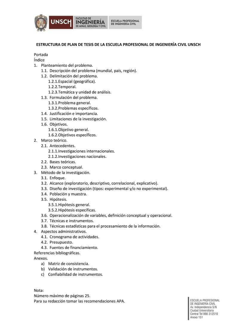
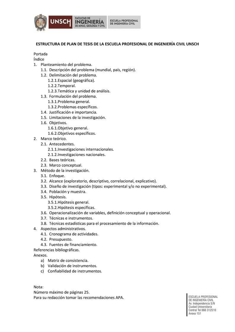
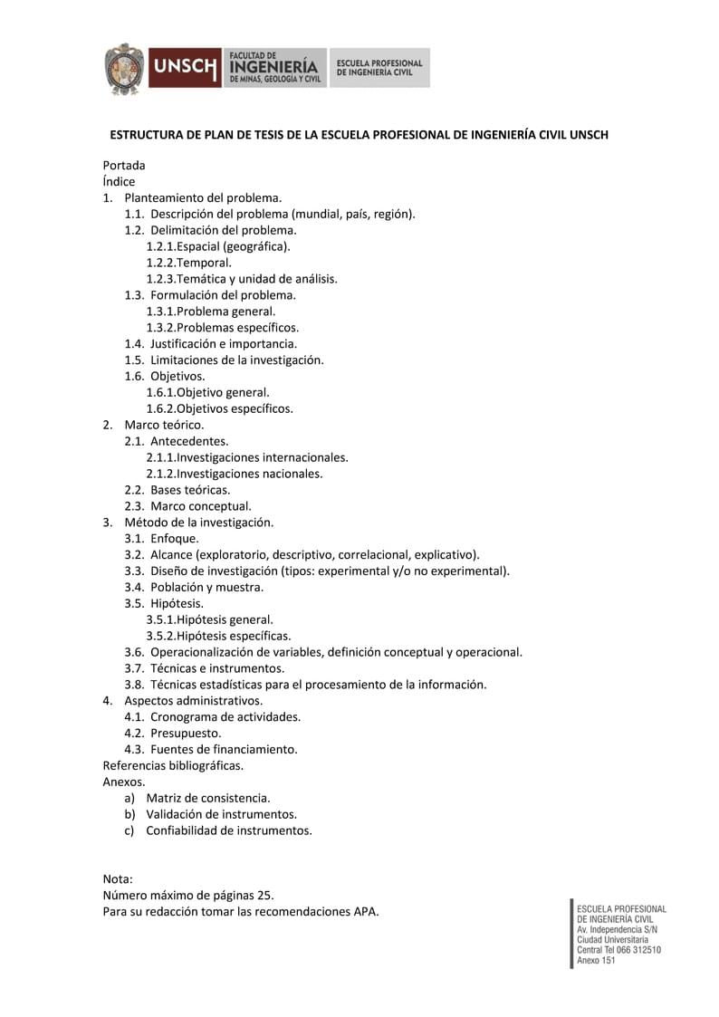
A thesis template adapted for Algeria university's requirements (specially USTHB). The thesis divided into three main parts are: Front matter: This part contains: Title Page, Dedication, Acknowledgement, Abstract ( French, Arabic, and English), Table of Contents. (Without page numbering) List of Figures, Tables, Algorithms and Nomenclature.(Page numbering is Roman) Main matter: All the chapters of the thesis and the bibliography are included here, the page numbering Arabic was used in this part Back matter: The appendices are included here, the page numbering alphabetic was used in this part. This template has also the following properties: Automatic generation of Nomenclature and its divided into Roman, Greek, Mathematical symbols and Abbreviations. The main Language is French, but it's easy to switch to English Files management is easy and clear The most used packages are included in the Preamble The title page has been updated according to USTHB requirements

This is the LaTeX template for The New England Journal of Statistics in Data Science (NEJSDS) articles.
\begin
Discover why over 25 million people worldwide trust Overleaf with their work.