
Graphviz drawing example
Author:
Overleaf
Last Updated:
5 лет назад
License:
Creative Commons CC BY 4.0
Аннотация:
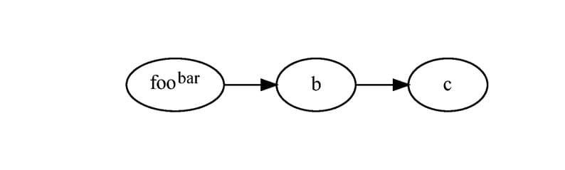
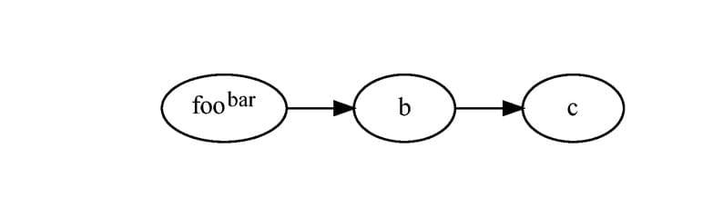
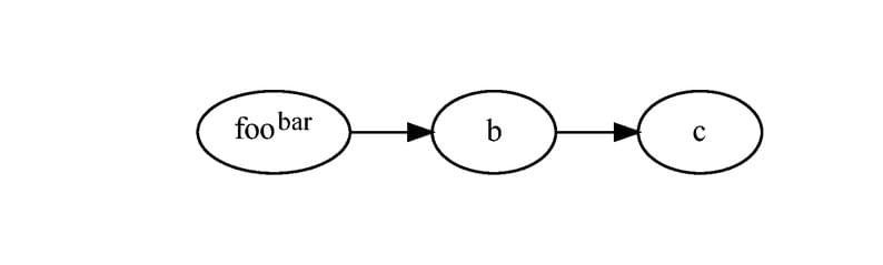
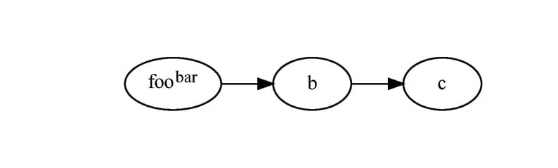
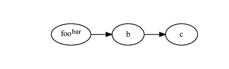
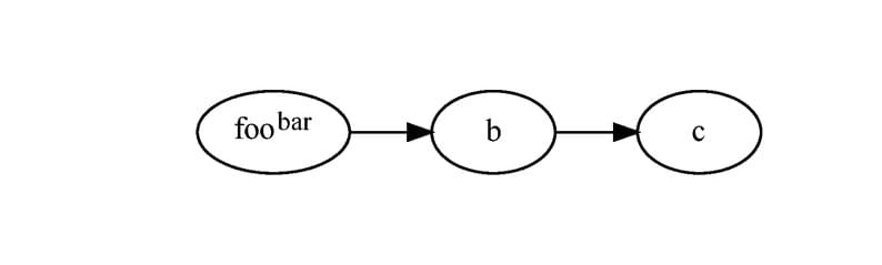
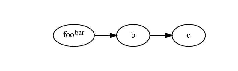
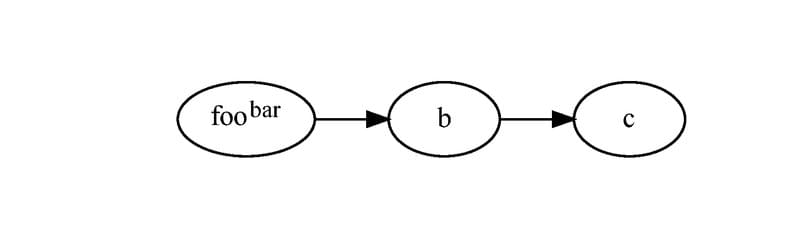
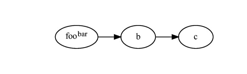
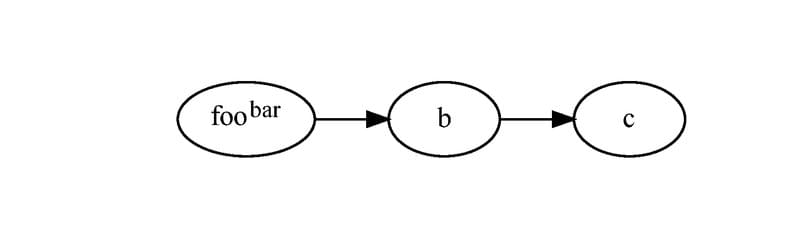
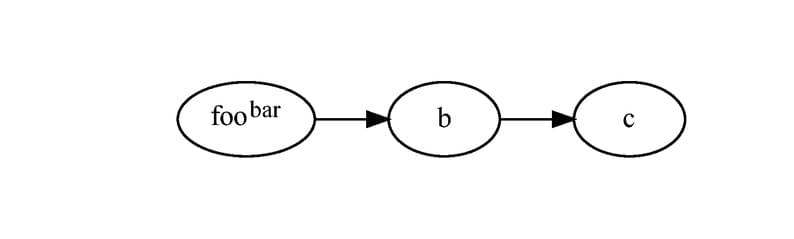
An example of the graphviz package, which uses dot in the background to draw graphs.
Add \usepackage[pdf]{graphicx} to get HTML-like labels working.

\begin
Discover why over 25 million people worldwide trust Overleaf with their work.